반응형

깊이 우선 탐색(DFS, Depth First Search)

특정 Data를 탐색할 때 깊이가 깊은 것을 우선적으로 탐색하는 알고리즘으로 Stack 자료구조를 사용

사실 Stack을 사용하지 않아도 구현이 가능한데, 이는 컴퓨터가 구조적으로 항상 Stack의 원리를 사용하기 때문이다.

 

깊이 우선 탐색(DFS) Sequence

더보기

Step 1: 시작 Node를 Stack에 넣고 방문 처리

Step 2: Stack의 최상단 Node 확인

Step 3: 최상단 Node에 방문하지 않은 인접 Node가 있다면 그 Node를 Stack에 넣고 방문 처리

           방문하지 않은 인접 Node가 없으면 Stack에서 최상단 Node 삭제

Step 4: Step 2로 이동

 

Code

#include <iostream>
#include <stack>
#include <vector>
using namespace std;

#define MAX 7
int visited[7];
vector <int> a[8];

void dfs(int x){
    // 이미 방문한 적 있으면 return
    if(visited[x]) return;

    // 방문 처리
    visited[x] = true;
    cout << x << " ";

    // 인접 노드 방문
    for(int i=0;i<a[x].size();i++){
        int y = a[x][i];
        dfs(y);
    }
}

int main(void){
    a[1].push_back(2);
    a[1].push_back(3);

    a[2].push_back(1);
    a[2].push_back(3);
    a[2].push_back(4);
    a[2].push_back(5);

    a[3].push_back(1);
    a[3].push_back(2);
    a[3].push_back(6);
    a[3].push_back(7);

    a[4].push_back(2);
    a[4].push_back(5);

    a[5].push_back(2);
    a[5].push_back(4);

    a[6].push_back(3);
    a[6].push_back(7);

    a[7].push_back(3);
    a[7].push_back(6);

    dfs(1);
}

출력

1 2 3 6 7 4 5
반응형

'Algorithm' 카테고리의 다른 글

[Algorithm] 너비 우선 탐색(BFS, Breadth First Search)  (1) 2023.04.09
[Algorithm] 큐(Queue)  (1) 2023.04.09
[Algorithm] 스택(Stack)  (0) 2023.04.09
[Algorithm] 심화 정렬 문제  (0) 2023.04.09
[Algorithm] 계수 정렬(Counting Sort)  (0) 2023.04.09
반응형

너비 우선 탐색(BFS, Breadth First Search)

특정 Data를 탐색할 때 너비를 우선으로 하여 탐색을 수행하는 알고리즘

최단 경로를 찾아준다는 점에서 최단 길이를 보장해야할 때 많이 사용되며, Queue를 이용한다.

e.g., 미로 찾기

 

너비 우선 탐색(BFS) Sequence

더보기

Step 1: 시작 Node를 큐에 삽입하고 방문 처리

Step 2: Queue에서 하나의 Node를 꺼냄

Step 3: 연결된 Node 중 방문하지 않은 Node를 방문하고 큐에 삽입

Step 4: Step 2로 이동

∴ BFS 수행 순서: 1 2 3 4 5 6 7

 

Code

#include <iostream>
#include <queue>
#include <vector>
using namespace std;

#define MAX 7
int visited[7]; // 방문 유무를 표시할 배열
vector<int> a[8];

void bfs(int start){
    queue<int> q;

    // 시작 노드 큐에 추가
    q.push(start);
    visited[start] = true;

    // 큐가 빌 때까지 반복
    while(!q.empty()){
        int x = q.front(); q.pop();
        cout << x << " ";

        // 현재 큐에서 꺼낸 Node와 인접한 노드 모두 방문
        for(int i=0;i<a[x].size();i++){
            int y = a[x][i];
            // 방문한 적 없는 노드이면 큐에 추가 후 방문 처리
            if(!visited[y]){
                q.push(y);
                visited[y] = true;
            }
        }
    }
}

int main(void){
    a[1].push_back(2);
    a[1].push_back(3);

    a[2].push_back(1);
    a[2].push_back(3);
    a[2].push_back(4);
    a[2].push_back(5);

    a[3].push_back(1);
    a[3].push_back(2);
    a[3].push_back(6);
    a[3].push_back(7);

    a[4].push_back(2);
    a[4].push_back(5);

    a[5].push_back(2);
    a[5].push_back(4);

    a[6].push_back(3);
    a[6].push_back(7);

    a[7].push_back(3);
    a[7].push_back(6);

    bfs(1);

    return 0;
}

 

출력

1 2 3 4 5 6 7
반응형

'Algorithm' 카테고리의 다른 글

[Algorithm] 깊이 우선 탐색(DFS, Depth First Search)  (0) 2023.04.09
[Algorithm] 큐(Queue)  (1) 2023.04.09
[Algorithm] 스택(Stack)  (0) 2023.04.09
[Algorithm] 심화 정렬 문제  (0) 2023.04.09
[Algorithm] 계수 정렬(Counting Sort)  (0) 2023.04.09
반응형

큐(Queue)

먼저 들어온 Data가 먼저 처리되는 선입선출(First In First Out, FIFO), 후입후출(Last In Last Out, LILO) 자료구조

 

큐(Queue) Sequence

더보기

명령: 삽입(7) → 삽입(5) → 삽입(4) → 삭제( ) → 삽입(6) → 삭제( )

삽입 7
삽입 5
삽입 4
삭제
삽입 6
삭제

 

Code

#include <iostream>
#include <queue>
using namespace std;

int main(void){
    queue<int> q;
    q.push(7);
    q.push(5);
    q.push(4);
    q.pop();
    q.push(6);
    q.pop();
    while(!q.empty()){
        cout << q.front() << " ";
        q.pop();
    }
    return 0;
}

출력

4 6
반응형
반응형

스택(Stack)

가장 마지막에 들어온 Data가 가장 먼저 처리되는 후입선출(Last In First Out, LIFO), 선입후출(First In Last Out, FILO) 자료구조

 

Stack 동작 Sequnce

더보기

명령: 삽입 (7) → 삽입(5) → 삽입(4) → 삭제() → 삽입(6) → 삭제()

삽입 7
삽입 5
삽입 4
삭제
삽입 6
삭제

 

Code

#include <iostream>
#include <stack>
using namespace std;

int main(void){
    stack<int> s;
    s.push(7);
    s.push(5);
    s.push(4);
    s.pop();
    s.push(6);
    s.pop();
    while(!s.empty()){
        cout << s.top() << " ";
        s.pop();
    }
    return 0;
}

출력

5 7
반응형
반응형

1181 단어 정렬

https://www.acmicpc.net/problem/1181

 

1181번: 단어 정렬

첫째 줄에 단어의 개수 N이 주어진다. (1 ≤ N ≤ 20,000) 둘째 줄부터 N개의 줄에 걸쳐 알파벳 소문자로 이루어진 단어가 한 줄에 하나씩 주어진다. 주어지는 문자열의 길이는 50을 넘지 않는다.

www.acmicpc.net

Code

#include <iostream>
#include <vector>
#include <algorithm>
using namespace std;
#define MAX 20000+10

int N;
string tmp;
vector <string> vec;

void Input(){
    cin >> N;
    for(int i=0;i<N;i++){
        cin >> tmp;
        vec.push_back(tmp);
    }
}

void Output(){
    tmp = "";
    for(int i=0;i<N;i++)
        if(tmp == vec[i]) continue;
        else{
            cout << vec[i] << "\n";
            tmp = vec[i];
        }
}

bool comp(string a, string b){
    if(a.length() == b.length()) return a < b;
    else return a.length() < b.length();
}

void Sort(){
    sort(vec.begin(), vec.end(), comp);
}

int main(void){
    Input();
    Sort();
    Output();
    return 0;
}

 

1431 시리얼 번호

https://www.acmicpc.net/problem/1431

 

1431번: 시리얼 번호

첫째 줄에 기타의 개수 N이 주어진다. N은 50보다 작거나 같다. 둘째 줄부터 N개의 줄에 시리얼 번호가 하나씩 주어진다. 시리얼 번호의 길이는 최대 50이고, 알파벳 대문자 또는 숫자로만 이루어

www.acmicpc.net

Code

#include <iostream>
#include <vector>
#include <algorithm>
using namespace std;
#define MAX 1000+10

int N;
vector <string> vec;

void Input(){
    string tmp="";
    cin >> N;
    for(int i=0;i<N;i++){
        cin >> tmp;
        vec.push_back(tmp);
    }
}

void Output(){
    for(int i=0;i<N;i++)
        cout << vec[i] << "\n";
}

int cal(string word){
    int sum=0;
    // 숫자만 뽑아내기
    for(int i=0;i<word.length();i++){
        if('0' <= word[i] && word[i] <= '9'){
            sum += word[i] - '0';
        }
    }
    return sum;
}

bool comp(string a, string b){
    int sum_a, sum_b = 0;
    // A와 B의 길이가 다르면 짧은 것이 먼저온다
    if(a.length() != b.length()) return a.length() < b.length();
    // 서로 길이가 같다면 A의 모든 자리수의 합과 B의 모든 자리수의 합을 비교해서 작은 합을 가지는 것이 먼저 온다. (숫자인 것만 더한다)
    else{
        sum_a = cal(a);
        sum_b = cal(b);
        if(sum_a != sum_b) return sum_a < sum_b;
        else{
            // 만약 1, 2번 둘 조건으로도 비교할 수 없으면, 사전순으로 비교한다 숫자가 알파벳보다 사전순으로 작다.
            return a < b;
        }
    }
}

void Solution(){
    sort(vec.begin(), vec.end(), comp);
}

int main(void){
    Input();
    Solution();
    Output();
}

 

10989 수 정렬하기 3

https://www.acmicpc.net/problem/10989

 

10989번: 수 정렬하기 3

첫째 줄에 수의 개수 N(1 ≤ N ≤ 10,000,000)이 주어진다. 둘째 줄부터 N개의 줄에는 수가 주어진다. 이 수는 10,000보다 작거나 같은 자연수이다.

www.acmicpc.net

Code

#include <iostream>
using namespace std;

int N;
int tmp;
int count_arr[10000+10];

int main(void){
    ios::sync_with_stdio(0); cin.tie(0);
    cin >> N;
    for(int i=0;i<N;i++){
        cin >> tmp;
        count_arr[tmp]++;
    }

    for(int i=1;i<10001;i++){
        while(count_arr[i]){
            cout << i << "\n";
            count_arr[i]--;
        }
    }
    return 0;
}
반응형

'Algorithm' 카테고리의 다른 글

[Algorithm] 큐(Queue)  (1) 2023.04.09
[Algorithm] 스택(Stack)  (0) 2023.04.09
[Algorithm] 계수 정렬(Counting Sort)  (0) 2023.04.09
[Algorithm] 힙 정렬(Heap Sort)  (0) 2023.04.09
[Algorithm] C++ STL sort 함수  (1) 2023.04.08
반응형

계수 정렬(Counting Sort)

범위 조건이 있을 때에 한해서 퀵 정렬(Quick Sort), 병합 정렬(Merge Sort), 힙 정렬(Heap Sort)보다 더 빠르게 정렬해야하는 경우 사용될 수 있는 알고리즘으로 단순히 크기를 기준으로 세는 알고리즘

모든 데이터에 한 번씩만 접근하면 된다는 점에서 매우 효율적인 알고리즘이다.

 

계수 정렬(Counting Sort) Sequence

더보기
DATA
초기 상태
결과

 

Code

#include <iostream>
using namespace std;
#define MAX 5

int arr[] = {1, 3, 2, 4, 3, 2, 5, 3, 1, 2, 3, 4, 4, 3, 5, 1, 2, 3, 5, 2, 3, 1, 4, 3, 5, 1, 2, 1, 1, 1};
int count_arr[MAX+1] = {0,};

int main(void){
    for(int i=0;i<sizeof(arr)/4;i++){
        count_arr[arr[i]]++;
    }

    for(int i=0;i<MAX+1;i++){
    	if(count_arr[i]== 0) continue;
        for(int j=1;j<=count_arr[i];j++){
            cout << i << " ";
        }
    }
    return 0;
}

 

출력

1 1 1 1 1 1 1 1 2 2 2 2 2 2 3 3 3 3 3 3 3 3 4 4 4 4 5 5 5 5

 

시간 복잡도

모든 원소를 한 번씩만 확인하기 때문에 O(N)

반응형

'Algorithm' 카테고리의 다른 글

[Algorithm] 스택(Stack)  (0) 2023.04.09
[Algorithm] 심화 정렬 문제  (0) 2023.04.09
[Algorithm] 힙 정렬(Heap Sort)  (0) 2023.04.09
[Algorithm] C++ STL sort 함수  (1) 2023.04.08
[Algorithm] 병합 정렬(Merge Sort)  (0) 2023.04.08
반응형

힙 정렬(Heap Sort)

병합 정렬(Heap Sort)이나 퀵 정렬(Quick Sort)만큼 빠른 정렬 알고리즘으로 힙 트리 구조(Heap Tree Structure)를 사용하는 정렬 방법

추가적인 배열이 필요하지 않다는 점에서 메모리 측면에서 병합 정렬(Merge Sort)에 비해 효율적이며 항상 O(N*logN)을 보장한다.

이론적으로는 퀵 정렬(Quick Sort), 병합 정렬(Merge Sort)보다 더 우위에 있다고 할 수는 있으나, 단순히 속도만 가지고 비교해보면 퀵 정렬(Quick Sort)이 평균적으로 더 빠르기 때문에 힙 정렬(Heap Sort)이 일반적으로 많이 사용되지는 않는다.

 

트리(Tree)

가지를 뻗어나가는 것 처럼 Data가 서로 연결되어 있는 자료구조

 

이진 트리(Binary Tree)

컴퓨터 안에서 Data를 표현할 때 데이터를 각 Node에 담은 뒤 Node를 두 개씩 이어붙이는 구조

Root: Tree의 최상단 Node

Leaf: Tree의 최하단 Node

 

완전 이진 트리(Complete Binary Tree)

Data가 Root Node부터 시작해서 자식 Node가 왼쪽 자식 Node, 오른쪽 자식 Node로 차근차근 뻗어나가는 구조의 이진 트리(Binary Tree)

힙(Heap)

최솟값이나 쵯댓값을 빠르게 찾아내기 위해 완전 이진 트리를 기반으로 하는 트리

최대 힙(Max Heap): 부모 노드가 자식 노드보다 큰 힙

-> 힙 정렬을 하기 위해서는 정렬할 데이터를 힙 구조로 변형해야 한다.

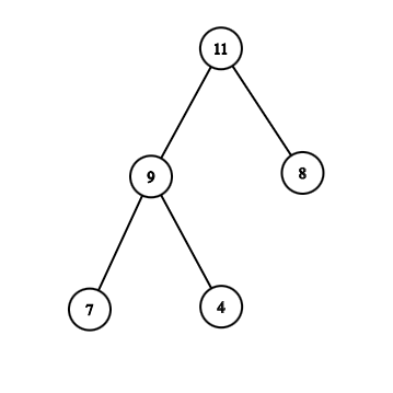
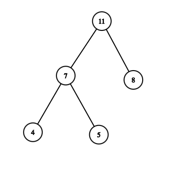
위쪽으로 보았을 때는 최대힙이 형성되어있으나 아래쪽으로보았을 때는 데이터 5를 가지는 노드 때문에 최대힙이 형성되어있지 않은 경우

☞ 해당 노드의 자식 노드 중 자신보다 큰 값과 위치를 변경(힙 생성 알고리즘 이용)

 

힙 생성 알고리즘(Heapify Algorithm)

특정한 노드의 두 자식 중에서 더 큰 자식과 자신의 위치를 변경하는 알고리즘으로 한 번 위치를 바꾼 후 여전히 자식이 존재하는 경우 다시 자식 노드 중에서 더 큰 자식과 자신의 위치를 바꾸는 동작을 수행한다.

특정한 하나의 노드에 대해 수행하는 것으로 해당 하나의 노드를 제외하고는 최대 힙이 구성되어있는 상태가 가정되어 있어야 한다.

힙 생성 알고리즘의 시간 복잡도

데이터의 개수가 N개일 때 노드의 높이는 logN

한 번 자식 노드로 내려갈 때마다 노드의 개수가 2배씩 증가하기 때문에 O(logN)

하지만 실질적으로 비교에 필요한 노드의 개수는 N/2개이므로 결과적으로 시간 복잡도는 O(N)

 

힙 정렬 Sequence

더보기

순서대로 배열에 저장

 

힙 구조로 변경(상향식)

 

부모노드와 가장 마지막 집합의 노드를 변경

 

가장 마지막 노드를 제외한 노드만 이용해 힙 구조로 변경 + 부모노드와 집합의 가장 마지막 노드 위치 변경 동작 반복

 

결과

 

Code

#include <iostream>
using namespace std;
#define number 9

int heap[9] = {7, 6, 5, 8, 3, 5, 9, 1, 6};

int main(void){
    // 최대 힙 구조 만들기
    for(int i=1;i<number;i++){
        int c = i;
        do{
            // root: 자기 자신의 부모
            int root = (c - 1) / 2;
            // 부모의 값보다 자식의 값이 크면 두 원소 위치 변경
            if(heap[root] < heap[c]){
                int temp = heap[root];
                heap[root] = heap[c];
                heap[c] = temp;
            }

            // 자식의 부모로 이동해 반복적으로 힙 구조 만들기
            c = root;
        } while(c!=0);
    }

    // 크기를 줄여가며 반복적으로 힙 구성
    for(int i=number - 1;i>=0;i--){
        // root node와 가장 마지막 node의 위치 변경
        int temp = heap[0]; // 0번째 index = root node
        heap[0] = heap[i];
        heap[i] = temp;

        // 다시 최대 힙 구조 만들기
        int root = 0;
        int c = 1;
        do{
            // c: root의 자식
            c = 2 * root + 1;
            // 자식 중에 더 큰 값 찾기
            // 왼쪽과 오른쪽 중 더 큰 값을 c에 담음
            if(heap[c] < heap[c+1] && c < i - 1){
                // 왼쪽 값보다 오른쪽 값이 더 크면 오른쪽 node의 index가 c에 저장됨
                c++;
            }

            // root보다 자식이 더 크면 root와 자식을 교환
            if(heap[root] < heap[c] && c < i){
                int temp = heap[root];
                heap[root] = heap[c];
                heap[c] = temp;
            }
            // c를 root로 이동시켜 반복
            root = c;
        } while(c < i);
    }

    for(int i=0;i<number;i++)
        cout << heap[i] << ' ';
    return 0;
}

출력

1 3 5 5 6 6 7 8 9

 

시간 복잡도

항상 O(N*logN)의 시간 복잡도를 보장한다.

반응형

'Algorithm' 카테고리의 다른 글

[Algorithm] 심화 정렬 문제  (0) 2023.04.09
[Algorithm] 계수 정렬(Counting Sort)  (0) 2023.04.09
[Algorithm] C++ STL sort 함수  (1) 2023.04.08
[Algorithm] 병합 정렬(Merge Sort)  (0) 2023.04.08
[Algorithm] 기초 정렬 문제  (0) 2023.04.08
반응형

C++ 언어의 경우 훌륭한 정렬 관련 Library가 존재한다.

 

기본 사용법

Code - 기본

#include <iostream>
#include <algorithm> // sort()는 algorithm library에 포함되어있음
using namespace std;

int main(void){
    int a[10] = {4, 7, 6, 2, 1, 5, 8, 10, 3, 9};
    sort(a, a+10); // 정렬할 배열의 메모리 주소, 정렬할 마지막 원소의 메모리 주소
    for(int i=0;i<10;i++)
        cout << a[i] << " ";
    cout << endl;
    return 0;
}

출력

1 2 3 4 5 6 7 8 9 10

 

Code - 정렬할 기준 정하는 방식

#include <iostream>
#include <algorithm>
using namespace std;

// 오름차순 정렬
bool comp_up(int a, int b){ // true, false를 기준으로 정렬 기준을 판단
    return a < b; // a가 b보다 작으면 정렬
}

// 내림차순 정렬
bool comp_down(int a, int b){
    return a > b; // a가 b보다 크면 정렬
}

int main(void){
    int a[10] = {4, 7, 6, 2, 1, 5, 8, 10, 3, 9};
    sort(a, a+10, comp_up);
    for(int i=0;i<10;i++)
        cout << a[i] << " ";
    cout << endl;
    sort(a, a+10, comp_down);
    for(int i=0;i<10;i++)
        cout << a[i] << " ";
    cout << endl;
    return 0;
}

출력

1 2 3 4 5 6 7 8 9 10 
10 9 8 7 6 5 4 3 2 1

 

Code - Data를 묶어서 정렬

#include <iostream>
#include <algorithm>
using namespace std;

// class: 하나의 객체를 정의함으로써 여러 개의 변수를 정의
// 일종의 새로운 자료형
class Student{
public:
    string name;
    int score;
    // 생성자: 특정 객체 초기화
    Student(string name, int score){
        this->name = name;
        this->score = score;
    }
    // 정렬 기준: 점수가 낮은 순서
    bool operator <(Student &student){
        return this->score < student.score;
    }
};

bool compare(int a, int b){
    return a > b;
}

int main(void){
    // 5명의 학생
    Student students[] = {
        Student("student1", 90),
        Student("student2", 80),
        Student("student3", 79),
        Student("student4", 66),
        Student("student5", 78)
    };
    sort(students, students+5); // 이미 Class 안에 정렬 기준을 정의해두었으니 변수의 이름만 넣어주면 됨
    for(int i=0;i<5;i++)
        cout << students[i].name << " ";
    cout << endl;
    return 0;
}

출력

student4 student5 student3 student2 student1

 

Code - Pair library를 이용한 정렬

더보기

Vector: 마치 배열과 같이 작동하는데 원소를 선택적으로 삽입(Push) 및 삭제(Pop)할 수 있는 단순한 배열을 사용하기 쉽게 개편한 자료구조

Pair: 한 쌍의 데이터를 처리할 수 있도록 해주는 자료구조

#include <iostream>
#include <algorithm>
#include <vector> // 연결리스트 형태로 표현되는 자료구조
using namespace std;

int main(void){
    // 한 쌍의 데이터를 묶어서 사용할 수 있는 library
    // 기본적으로 first, second 인자를 가짐
    vector<pair<int, string>> v;
    v.push_back(pair<int, string> (90, "student1"));
    v.push_back(pair<int, string> (79, "student2"));
    v.push_back(pair<int, string> (88, "student3"));
    v.push_back(pair<int, string> (69, "student4"));
    v.push_back(pair<int, string> (95, "student5"));

    sort(v.begin(), v.end());

    for(int i=0;i<v.size();i++){
        cout << v[i].second << ' ';
    }
    return 0;
}

출력

student4 student2 student3 student1 student5

 

Code - 정렬 기준을 명시하는 Pair 사용

#include <iostream>
#include <algorithm>
#include <vector>
using namespace std;

bool comp(pair<string, pair<int, int>> a,
          pair<string, pair<int, int>> b){
    // 성적이 같으면 생년월일이 더 느린 학생이 높은 우선순위 가짐
    if(a.second.first == b.second.first)
        return a.second.second > b.second.second;
    // 성적이 다르면 성적이 더 높은 학생이 높은 우선순위 가짐
    else
        return a.second.first > b.second.first;
}

int main(void){
    vector<pair<string, pair<int, int>>> v;
    v.push_back(pair<string, pair<int, int>> ("student1", pair<int, int>(90, 970416)));
    v.push_back(pair<string, pair<int, int>> ("student2", pair<int, int>(87, 990722)));
    v.push_back(pair<string, pair<int, int>> ("student3", pair<int, int>(93, 891130)));
    v.push_back(pair<string, pair<int, int>> ("student4", pair<int, int>(87, 920631)));
    v.push_back(pair<string, pair<int, int>> ("student5", pair<int, int>(84, 950718)));

    sort(v.begin(), v.end(), comp);

    for(int i=0;i<=v.size();i++)
        cout << v[i].first << ' ';
    return 0;
}

출력

student3 student1 student2 student4 student5
반응형

'Algorithm' 카테고리의 다른 글

[Algorithm] 계수 정렬(Counting Sort)  (0) 2023.04.09
[Algorithm] 힙 정렬(Heap Sort)  (0) 2023.04.09
[Algorithm] 병합 정렬(Merge Sort)  (0) 2023.04.08
[Algorithm] 기초 정렬 문제  (0) 2023.04.08
[Algorithm] 퀵 정렬(Quick Sort)  (0) 2023.04.08

+ Recent posts